인공와우이식 영유아와 어머니 간 발성 차례주고받기에서의 시간적 반응양상
Temporal Properties of Vocal Turn-Taking in Parent-Toddler Interactions of Toddlers With Cochlear Implants
Article information
Trans Abstract
Background and Objectives
This study investigated the temporal characteristics of vocal turn-taking between hearing mothers and their toddlers with cochlear implants (CIs) and examined the relationship between vocal turn-taking patterns and language development.
Subjects and Method
Participants included 10 mother-toddler dyads with CIs and 12 dyads with typical hearing (TH). A 20-minute free-play interaction was recorded using a digital recorder. Temporal properties of vocal turn-taking were analyzed using the Praat software, focusing on speaker vocalization duration, the proportion of coordinated vocal interactions, the duration of vocal turn-taking sequences, and inter-speaker switching pauses.
Results
No significant differences were found in speaker vocalization duration in mothers or toddlers between the CI and TH groups. However, toddlers with TH engaged in a significantly higher proportion of coordinated vocal interactions with their mothers than toddlers with CIs. The duration of vocal turn-taking sequences and inter-speaker switching pauses did not differ significantly between the two groups. Notably, in the CI group, a higher proportion of coordinated vocal interactions was significantly associated with better language scores.
Conclusion
These findings indicate that while the overall temporal properties of vocalizations and turn-taking sequences are comparable between toddlers with CIs and those with TH, coordinated vocal interactions occur more frequently in the TH group. The significant association between coordinated vocal interactions and language development in toddlers with CIs underscores the need for targeted strategies to enhance these interactions and support language acquisition.
서 론
영유아는 부모와의 상호작용을 통해 말과 언어를 배우고 발달시킨다. 출생 직후부터 영유아는 울음, 눈맞춤과 같은 초기 의사소통 행동을 활용하여 부모와 상호작용을 시작하며, 부모는 영유아의 욕구를 민감하게 파악하고 몸짓(gesture), 시선(eye gaze), 발성(vocalization) 등을 통해 반응한다[1]. 이러한 상호작용을 통해, 영유아는 타인의 시선을 따라가고 자신의 상태나 의도를 효과적으로 표현하는 법을 배우며, 단순한 반응을 넘어 타인의 의도를 이해하고 조율하는 능력을 점진적으로 발달시킨다[2]. 영유아의 의사소통 행동은 단순한 반응에서 상호적(interactive)이고 조율된(co-regulated) 형태로 발달하며, 초기에는 부모의 얼굴 표정, 목소리 억양, 몸짓을 관찰하면서 사회적 단서를 해석하고 적절히 반응하는 능력을 습득한다[3]. 이 과정에서 부모는 영유아의 신호를 해석하여 즉각적으로 반응하며, 점진적으로 조율된 의사소통을 형성한다. 이러한 상호작용을 통해 영유아는 능동적으로 의사소통에 참여하게 되며, 점차 독립적인 화자로서의 역할을 확립해 나간다[4]. 특히, 부모의 민감한 반응과 반복적인 상호작용은 영유아가 자신의 의도를 정교하게 표현하고, 대화의 흐름을 조율하는 능력을 키우는 데 중요한 역할을 한다.
발성 차례주고받기(vocal turn-taking)는 부모와 영유아가 발성을 교대로 주고받으며 상호작용하는 과정으로, 영유아가 초기 의사소통 구조를 습득하는 데 필수적인 역할을 한다. 부모와 영유아는 번갈아 발성하며 상호작용의 흐름을 조정하며, 이러한 상호작용은 점차 대화의 형태로 발전한다[4]. 특히, 생후 3-4개월경의 영유아는 부모의 발성을 듣고 일정한 시간 내에 반응하려는 시도를 보이며, 이는 이후 구어 의사소통(oral communication) 발달의 기초가 된다[4]. 부모는 영유아의 반응을 세심하게 관찰하고 적절한 발성 타이밍을 조정하며, 이 과정에서 부모와 영유아 간 화자 조율(coordinated interpersonal timing)이 형성된다. 이러한 조율은 영유아가 의사소통의 기본 원리를 익히고, 사회적·인지적 발달을 촉진하는 데 기여한다[3]. 나아가 발성 차례주고받기를 통해 영유아는 상호작용의 규칙을 학습하고 점진적으로 효과적인 의사소통 능력을 형성하며, 언어 발달의 기초를 다지게 된다.
발성 차례주고받기의 시간적(temporal) 특성은 영유아의 초기 의사소통 능력을 평가하는 데 중요한 정보를 제공하며, 주요 요소로는 발성 지속시간(duration of vocalization), 발성 차례주고받기 시간(time of coordinated vocal interaction), 화자 전환 쉼 시간(duration of switching pause)이 포함된다. 이러한 시간적 요소는 부모와 영유아 간의 상호작용에서 중요한 역할을 하며, 발성 타이밍 조절 능력이 원활한 대화 흐름을 형성하는 데 필수적이다. 발성 지속시간은 한 화자가 발성하는 시간을 의미하며, 연령 증가에 따라 단어 조합과 문장 발달과 함께 점차 길어진다[5]. 발성 차례주고받기 시간은 부모와 영유아 간 발성이 교환되는 총 지속시간을 측정하며, 상호작용이 얼마나 효과적으로 이루어지는지를 반영한다[6]. 화자 전환 쉼 시간은 화자의 발성이 끝난 후 다음 화자의 발성이 시작되기까지의 시간을 의미하며, 상호작용 능력 및 대화 규칙 습득 과정을 평가하는 데 유용하다[3].
발성 차례주고받기의 시간적 조율 능력은 정상적인 청각 경험을 통해 형성되며, 청각 정보 입력이 제한될 경우 조율 과정에서 어려움이 발생할 수 있다. 실제로 난청 영유아는 제한적인 청각 정보 입력으로 인해 타인의 말을 정확하게 지각하고, 적절한 타이밍에 반응하는 데 어려움을 겪는다[7]. 이러한 어려움은 부모와의 발성 차례주고받기 과정에도 영향을 미치게 되어, 상호작용의 자연스러운 흐름에 방해될 가능성이 높다. 대다수의 난청 영유아는 건청 부모에게서 태어나며[8], 부모와 자녀 간의 의사소통 방식(communication mode) 차이는 상호작용 과정에서 추가적인 부담을 초래할 수 있다[9]. 특히, 건청 부모는 난청 자녀의 발성 신호를 정확하게 해석하는 데 어려움을 겪을 수 있으며, 이에 따라 부모의 피드백 타이밍과 반응 양상이 조율되지 않을 가능성이 있다. 이러한 점을 고려할 때, 건청 부모와 난청 영유아 모두 발성 차례주고받기 과정에서 어려움을 경험할 수 있으며, 이는 양방향 의사소통을 저해하는 요인으로 작용할 수 있다. 또한, 인공와우 이식 영유아는 건청 영유아에 비해 듣기 경험이 제한적이며, 언어처리 능력이 상대적으로 낮아 의사소통 과정에서 추가적인 어려움을 겪는다[7]. 특히, 인공와우이식 영유아는 청각적 피드백을 활용한 발성 조절이 건청 영유아에 비해 미숙할 가능성이 높으며[10], 이에 따라 적절한 화자 전환과 발성지속시간을 조정하는 능력도 제한적일 수 있다. 선행연구에 따르면, 인공와우이식 후 3개월이 지난 난청 영유아와 어머니는 건청 영유아와 어머니에 비해 발성 차례주고받기 빈도가 낮고, 난청 영유아의 발성 양 또한 적은 것으로 보고되었다[11,12]. 이러한 연구 결과는 난청 영유아의 청각적 경험 부족이 부모와의 상호작용 빈도 및 질에 직접적인 영향을 미칠 가능성을 시사한다. 그러나 이러한 연구들은 발성 지속시간, 발성 차례주고받기 시간, 화자 전환 쉼 시간과 같은 시간적 요소를 종합적으로 분석하지 않아서, 건청 영유아와 인공와우이식 영유아 간의 상호작용 특성과 화자 간 조율 능력을 충분히 규명하지 못했다는 한계가 있다. 따라서, 난청 영유아의 발성 차례주고 받기의 시간적 특성을 세부적으로 분석하는 연구가 필요하며, 이러한 연구를 통해 난청 영유아의 효과적인 구어 의사소통 능력 발달을 위한 전략을 모색하고, 부모와 난청 영유아 간 상호작용을 개선할 수 있는 실질적인 개입 방안을 모색할 필요가 있다. 이에 따라, 본 연구에서는 어머니와 영유아 간 발성 차례주고받기에서 나타나는 시간적 특성(발성 차례주고받기 시간 비율 및 평균 지속시간, 발성 지속시간, 화자 전환 쉼 시간)을 인공와우이식 집단과 건청 집단 간에 비교하고, 각 변수가 영유아의 언어 능력과 어떤 관련성을 보이는지 분석하고자 한다.
대상 및 방법
대 상
본 연구는 인공와우이식 영유아와 어머니 10쌍, 생활연령을 일치시킨 건청 영유아와 어머니 12쌍을 대상으로 하였다(Table 1). 연구 대상자는 인공와우이식 영유아 집단과 건청 영유아 집단으로 구성되었으며, 각각의 선정 기준은 다음과 같다.
인공와우이식 영유아는 1) 생활연령이 1-3세이며, 2) 생후 2세 이전에 인공와우이식을 시행받고, 3) 심한 내이기형이나 중복장애(예: 지적장애, 자폐스펙트럼장애 등)가 동반되지 않으며, 4) 발성을 사용하여 의사소통이 가능한 경우에 한하여 선정하였다. 건청 영유아는 1) 인공와우이식 영유아와 생활연령 차이가 ±3개월 이내이며, 2) 영·유아 언어발달검사(Sequenced Language Scale for Infants) [12]에서 연령에 적절한 정상 범위의 언어 발달을 보이며, 3) 부모보고에서 신체, 정서, 언어 발달에 문제가 없는 것으로 확인된 경우에 한하여 포함하였다.
본 연구에 참여한 영유아의 어머니는 1) 인지 및 청각기관에 이상이 없으며, 2) 고등학교 졸업 이상의 학력을 가지고, 3) 사회경제적 지위(socioeconomic status)는 국민기초생활보장법[13] 기준 최저생계비 미만의 저소득층에 해당되지 않으며, 4) 한국판 벡 우울 척도(Korean version of Beck Depression Inventory) [14]에서 21점 미만으로 우울 증상이 없는 어머니만을 대상으로 하였다.
자료 수집
본 연구는 이화여자대학교 생명윤리위원회(Institutional Review Board)의 승인을 받은 후 진행되었다(ewh-202205-0023-01). 자료 수집은 소음 수준이 40 dB 이하로 유지되는 대학교 내 상호작용 실험실에서 이루어졌으며, 어머니와 영유아 간의 상호작용을 평가하기 위해 약 20분간 녹음과 촬영이 진행되었다. 신뢰도 높은 자료 확보를 위해 두 대의 디지털레코더(SONY ICD-TX660, Sony Group Corporation; Roland R-05 Studio WAVE/MP3 Recorder, Roland)를 사용하여 어머니와 영유아의 옷에 부착사여 정확한 음성 데이터를 수집하였다. 또한, 녹음된 음성이 어머니와 영유아의 실제 발성인지, 혹은 생리적 발성(예: 기침, 한숨 등)인지 여부를 확인하기 위해 상호작용 장면을 카메라(GoPro HEROS8, GoPro Inc.)를 사용하여 동시 촬영하였다.
자료 분석
본 연구에서는 어머니와 영유아의 상호작용 자료 총 20분 중 초반 5분과 후반 5분을 제외한 중간 10분의 데이터를 분석 대상으로 선정하였다. 발성 관련 변수를 분석하기 위해 PRAAT phonetic analysis software version 6.1.56 (Paul Boersma and David Weenink, University of Amsterdam, Amsterdam, Netherlands)을 사용하여 어머니와 영유아의 발성 지속시간, 발성 차례주고받기 시간 비율 및 평균 지속시간, 화자 전환 쉼 시간을 측정하였다. 발성 지속시간은 발성이 시작된 시점부터 종료된 시점까지를 기준으로 측정하였으며, 발성 중 300 ms 이상의 쉼이 발생할 경우 두 개의 독립된 발성으로 구분하였다[15]. 발성 차례주고받기 시간 비율은 상호작용 중 발성 차례주고받기 시간의 총합을 전체 상호작용 시간으로 나누어 백분율(%)로 산출하였다. 또한, 발성 차례주고받기 평균 지속시간은 발성 차례주고받기 시간의 총합을 발성 차례주고받기의 발생 횟수로 나누어 계산하였다. 분석 과정에서 어머니와 영유아 간 발성이 중첩(overlap)된 경우는 제외하였다. 마지막으로, 화자 전환 쉼 시간은 한 화자가 발성을 마친 후 다른 화자가 발성을 시작하기까지의 시간 간격을 측정하였다. 이때, 50 ms 이상 3000 ms 이하의 시간 간격만을 화자 전환으로 간주하고 쉼 시간을 분석하였다[15,16]. 어머니의 화자 전환 쉼 시간은 어머니가 영유아의 발성에 응답하는 데 걸리는 시간으로, 영유아의 화자 전환 쉼 시간은 영유아가 어머니의 발성에 응답하는 데 걸린 시간으로 각각 측정하였다(Table 2) [15,16].
본 연구에서는 SPSS 2 7.0 (IBM Corp.)을 이용하여 통계 분석을 하였다. 발성 차례주고받기 주요 변수들에 대한 분석에 앞서 Kolmogorov-Smirnov 검정을 통해 정규성 검정을 실시한 결과, 모든 변수에서 유의수준 0.05 이상으로 정규성이 충족됨을 확인하였다. 이에 따라, 두 집단 간 차이를 비교하기 위해 독립표본 t 검정(independent t-test)을 실시하였으며, 발성 차례주고받기 관련 변수와 인공와우이식 영유아의 언어점수 간의 관련성을 확인하기 위해 Pearson 상관분석을 실시하였다. 모든 통계 분석에서 p값이 0.05 미만일 경우 통계적으로 유의하다고 판단하였다.
결 과
인공와우이식 영유아와 건청 영유아의 생활연령을 비교한 결과, 평균 생활연령은 각각 21.5개월, 23.5개월이었으며, 집단 간 차이는 통계적으로 유의하지 않았다(p=0.464). 반면, 수용 언어점수의 경우, 인공와우이식 영유아는 평균 30.20점, 건청 영유아는 평균 53.17점으로, 집단 간 차이가 통계적으로 유의하였다(p=0.006). 표현언어점수의 경우, 인공와우이식 영유아는 평균 27.00점, 건청 영유아는 평균 45.17점으로, 집단 간에 유의한 차이가 있었다(p=0.001) (Table 1).
집단 간 화자의 발성 지속시간 비교
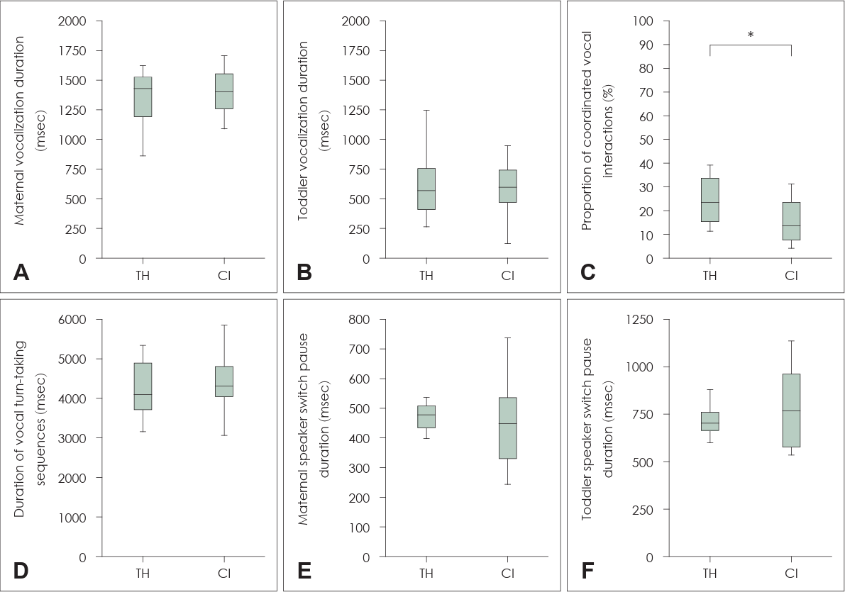
어머니의 발성 지속시간을 비교한 결과, 집단 간 유의한 차이가 나타나지 않았다(p=0.503) (Fig. 1A). 영유아의 발성 지속시간에서도 집단 간 유의한 차이가 나타나지 않았다(p=0.624) (Fig. 1B).
Between-group comparison of maternal vocalization duration (A), toddler vocalization duration (B), proportion of coordinated vocal interactions (C), duration of vocal turn-taking sequences (D), maternal speaker switch pause duration (E), and toddler speaker switch pause duration (F). No significant differences were observed in (A), (B), (D), (E), and (F). A significant difference was found in (C) between the two groups (p<0.01). Values represent the mean and standard error. *p<0.05. TH, toddlers with typical hearing; CI, toddlers with cochlear implants.
집단 간 발성 차례주고받기의 시간 비율 및 평균 지속시간 비교
발성 차례주고받기 시간 비율은 집단 간에 유의한 차이가 있었다(p=0.008). 인공와우이식 집단의 발성 차례주고받기 시간 비율은 평균 15.83% (SD=9.55)로, 건청 집단의 평균 29.12% (SD=11.30)보다 유의하게 낮았다(Fig. 1C). 반면, 발성 차례주고받기 평균 지속시간은 집단 간 유의한 차이가 나타나지 않았다(p=0.934) (Fig. 1D).
집단 간 화자 전환 쉼 시간 비교
어머니의 화자 전환 쉼 시간은 집단 간에 유의한 차이가 없었으며(p=0.444) (Fig. 1E), 영유아의 화자 전환 쉼 시간에서도 집단 간에 유의한 차이가 없었다(p=0.384) (Fig. 1F).
인공와우이식 영유아에서 발성 차례주고받기 관련 변수와 언어점수와의 관련성 탐색
인공와우이식 집단의 발성 차례주고받기 시간 비율은 표현 언어점수와 수용 언어점수와 유의한 정적 상관을 보였다(p=0.006, 0.017) (Fig. 2).
고 찰
본 연구에서는 생후 12-19개월 사이에 인공와우이식을 시행받은 영유아와 건청 어머니 간의 발성 차례주고받기를 생활연령을 일치시킨 건청 영유아와 건청 어머니 집단과 비교 분석함으로써, 인공와우이식 영유아와 건청 어머니 간의 구어 의사소통 발달의 핵심인 발성 차례주고받기 특성을 살펴보고자 하였다. 또한, 인공와우이식 영유아의 언어점수와 발성 차례주고받기 변수 간의 관련성을 확인하였다. 본 연구 목적에 따른 논의 및 결론은 다음과 같다.
본 연구에서는 인공와우이식 영유아 어머니와 건청 영유아 어머니 간의 발성 지속시간에는 유의한 차이가 나타나지 않았다. 이러한 결과는 어머니가 자녀의 청각 상태와 관계없이 일관된 언어적 상호작용 패턴을 유지하고 있으며, 이를 통해 영유아에게 안정적인 언어 환경을 제공하고 있음을 시사한다. 특히, 어머니의 발성 지속성은 단순한 언어 입력의 양적인 측면을 넘어, 영유아의 언어 발달을 촉진하기 위한 적극적이고 의도적인 의사소통 전략의 일환으로 해석될 수 있다. 이는 어머니가 자녀에게 일관적으로 언어 자극을 제공하고, 상호작용의 질(quality)을 유지하려는 노력을 지속적으로 기울이고 있음을 반영한다. 이러한 결과는 선행연구와도 맥락을 공유한다. 예를 들어, 부모와 영유아 간 상호작용에서 인공와우이식 영유아 집단과 건청 영유아 집단 간 부모의 언어입력 양에 유의한 차이가 없었다는 연구 결과는 본 연구의 결과를 뒷받침한다[4,16]. 이는 인공와우이식 영유아의 어머니 역시 건청 영유아 어머니와 마찬가지로 일관된 언어적 상호작용 패턴을 유지하고 있으며, 자녀에게 풍부한 언어 자극을 제공함으로써 난청으로 인한 언어 발달 지연을 최소화하는 데 기여하고 있음을 시사한다.
일반적으로 아동의 언어 발달 과정에서 음운(phonology), 어휘, 구문구조가 점차 정교화됨에 따라 발성 지속시간도 길어지는 경향을 보이는 것으로 알려져 있다[5]. 그러나 본 연구에서는 인공와우이식 영유아의 표현 및 수용 언어점수가 생활연령을 일치시킨 건청 영유아에 비해 유의하게 낮았음에도 불구하고, 두 집단 간 발성 지속시간에는 유의한 차이가 나타나지 않았다. 이러한 결과는 발성 지속시간이 단순히 언어 능력에 의해 결정되는 것이 아니라, 부모와 아동 간 상호작용에서 의사소통 의도 및 참여도와 같은 사회적 요인에 의해 영향을 받을 수 있음을 시사한다. 즉, 인공와우이식 영유아가 건청 영유아에 비해서 언어 이해 및 표현에서 제한을 보이더라도, 어머니와의 상호작용 과정에서 발성을 지속하려는 노력이 건청 영유아와 유사한 수준으로 유지될 수 있음을 의미한다. 이러한 결과는 난청 아동의 경우에도 부모가 일관된 언어 입력을 제공할 때, 영유아의 발성 빈도와 지속성이 유지될 수 있다고 보고한 Dirk 등[16]의 연구와도 일치한다. 또한, 영유아의 발성 지속시간에서 집단 간 차이가 없었다는 결과는 조기 인공와우이식과 적절한 청각언어중재가 초기 구어 의사소통 환경에 긍정적인 영향을 미쳤을 가능성을 뒷받침한다. 특히, 본 연구에 참여한 영유아들이 만 2세 이전에 인공와우이식을 받고 부모와 함께 체계적인 청각언어중재에 참여하였다는 점을 고려할 때, 조기 중재가 인공와우이식 영유아의 구어 의사소통 발달을 효과적으로 촉진하는 데 중요한 역할을 할 수 있음을 시사한다.
본 연구에서는 집단 간 발성 차례주고받기 시간 비율에서 유의한 차이가 나타났다. 즉, 인공와우이식 영유아와 어머니 간의 발성 차례주고받기 시간 비율이 건청 영유아와 어머니 간의 비율보다 유의하게 짧았다. 이러한 결과는 인공와우이식 영유아와 어머니 간의 상호작용이 건청 영유아와 어머니 간 상호작용에 비해 효율성이 낮을 가능성을 시사한다. 발성 차례주고받기는 대화 구조를 형성하는 핵심적인 요소로, 어머니와 영유아가 서로의 발성을 듣고 이해하며 이에 적절히 반응하는 능력을 반영하는 지표이다[3]. 이 과정에서 영유아가 어머니의 발화를 듣고 이해하여 발성으로 반응하지 못하거나 반응이 지연될 경우, 상호작용 과정에서 원활한 차례주고 받기가 이루어지지 않을 가능성이 높다. 한편, 어머니와 영유아가 발성 차례를 주고받는 동안, 영유아는 어머니로부터 다양한 언어 표현을 듣고 이를 모방하거나 자신만의 방식으로 반응하면서, 모국어의 어휘, 문법, 말소리를 습득한다. 따라서, 영유아가 부모와의 발성 차례주고받기를 경험하는 빈도가 높을수록 언어 발달에 긍정적인 영향을 받을 가능성이 크다[6]. 이러한 맥락에서 인공와우이식 영유아와 어머니 간 발성 차례주고받기의 시간 비율이 건청 영유아 집단에 비해서 유의하게 짧다는 것은 인공와우이식 영유아가 어머니와의 상호작용 과정에서 충분한 언어 자극을 경험할 기회가 제한될 수 있음을 의미한다. 이는 인공와우이식 영유아의 언어 발달이 상대적으로 지연될 가능성을 시사하며, 이러한 제한점을 보완하기 위해 부모와 난청 영유아 간 발성 차례주고받기의 빈도를 향상시킬 수 있는 전략적인 중재가 필요하다는 것을 의미한다.
집단 간 발성 차례주고받기 평균 지속시간에는 유의한 차이가 나타나지 않았다. 발성 차례주고받기 시간 비율은 전체 상호작용 시간 중 발성 차례주고받기가 이루어진 시간 비율을 나타내는 지표로, 상호작용의 빈도와 양을 평가하는 데 사용된다. 반면, 발성 차례주고받기 평균 지속시간은 한 번의 발성 차례주고받기 과정이 시작되어 종료될 때까지의 시간을 측정하며, 이는 상호작용의 집중도와 질을 평가하는 중요한 지표이다. 본 연구에서 집단 간에 발성 차례주고받기 평균 지속시간에 유의한 차이가 나타나지 않았다는 결과는 인공와우이식 영유아와 어머니가 발성을 통해 상호작용을 할 때 그 지속성이 건청 영유아와 어머니의 상호작용과 유사한 수준임을 의미한다. 이는 인공와우이식 영유아가 청각언어정보 처리에 어려움을 겪을 수 있음에도 불구하고, 일단 발성을 통해 상호작용을 시작하면 어머니와 비교적 긴 시간 동안 상호작용을 유지할 수 있음을 보여준다. 이러한 결과는 고도 이상의 난청 영유아가 인공와우이식과 청각언어중재를 통해 향상된 청각적 피드백과 청각언어정보 처리 능력으로 발성 차례주고받기의 지속성을 건청 영유아와 비슷한 수준으로 유지하는 데 기여할 수 있음을 뒷받침한다. Boons 등[17]은 고도 이상의 난청 영유아가 인공와우를 통해 제공받는 청각 자극이 언어 발달을 촉진하며, 이러한 청각적 피드백이 발성 차례주고받기에 중요한 역할을 한다고 보고하였다. Yont 등[18] 역시 인공와우이식 영유아와 부모 간의 발성 주고받기가 높은 수준에서 이루어졌으며, 부모와 영유아 모두 상호작용 과정에서 상대방의 의도를 이해하고 적절히 응답하는 능력을 보였다고 밝혔다. 이러한 결과는 인공와우이식 영유아가 구어 의사소통 발달의 초기 단계에서 건청 영유아와 유사한 발성 상호작용 패턴을 형성할 수 있다는 점에서 중요한 의미를 가진다.
본 연구에서는 집단 간 어머니와 영유아의 화자 전환 쉼 시간에서도 유의한 차이가 나타나지 않았다. 즉, 인공와우이식 영유아의 어머니는 건청 영유아의 어머니와 유사하게 즉각적으로 자녀의 발성에 반응하고 있었으며, 인공와우이식 영유아도 어머니의 발성에 대해 건청 영유아와 유사한 시간 내에 반응하고 있었다. 이러한 결과는 어머니가 인공와우이식 영유아의 발성에 민감하게 반응하며 즉각적으로 피드백을 제공하려는 노력을 기울이고 있다고 밝힌 Jeon과 Lee [19]의 연구 결과와 일치한다. 반면, 인공와우이식 영유아가 건청 영유아에 비해 긴 화자 전환 쉼 시간을 가진다고 보고한 Kondaurova 등[20]의 연구와는 상반된 결과이다. 이러한 차이는 본 연구에 참여한 대상자의 특성과 발성 차례주고받기의 요인에 의해 설명될 수 있다. 첫째, 본 연구에 참여한 인공와우이식 영유아는 발성 차례주고받기에 필요한 청각 능력(audibility)이 확보된 대상자들이었다. 이들은 조기 난청 진단 및 인공와우이식, 조기 중재를 통해 청각언어기술(auditory-linguistic skills)을 습득하였으며, 어머니도 중재에 적극적으로 참여(engagement)한 경험을 지니고 있다. 이러한 요인들이 인공와우이식 영유아가 어머니와의 상호작용에서 청각 정보를 효과적으로 활용하고, 건청 영유아와 유사한 수준의 화자 전환 쉼 시간을 보일 가능성을 높였을 것이다. 둘째, Levinson [21]의 상호작용 엔진 가설(interaction engine hypothesis)에 따르면, 영유아는 생후 초기부터 의사소통 상대의 의도를 파악하고 차례주고받기의 기초가 되는 타이밍을 학습할 수 있다. Dominguez 등[22]과 Boiteau 등[23]의 연구에서는 건청 영유아가 생후 2-4개월부터 상대방의 발성 타이밍을 인식하고 이에 맞춰 발성할 수 있음을 보고하였다. 이러한 결과는 난청 영유아도 조기 인공와우이식과 청각언어중재를 통해 청각언어기술이 습득하면서, 발성 차례주고받기를 적절하게 학습할 수 있음을 의미한다. 셋째, 본 연구 결과는 어머니와 영유아 간 상호작용 협응(interactional synchrony)의 역할을 시사한다. 상호작용 협응은 어머니와 영유아가 대화나 상호작용 중 서로의 행동, 발화, 감정 표현 등을 조화롭게 맞추는 과정을 의미하며, 이를 통해 영유아와 어머니는 서로의 화자 간 발성 전환 쉼 시간에 맞추어 자신의 쉼 시간을 조정할 수 있다. 본 연구에서 집단 간 영유아의 화자 전환 쉼 시간에 유의한 차이가 나타나지 않았다는 결과는 인공와우이식 영유아가 부모와의 상호작용 속에서 청각 정보를 기반으로 사회적 상호작용 신호를 효과적으로 학습하고 적용하고 있음을 시사한다.
본 연구에서는 인공와우이식 영유아와 어머니 간 발성 차례주고받기 시간 비율이 영유아의 수용 및 표현 언어점수와 유의한 정적 상관을 보였다. 이는 어머니와 인공와우이식 영유아 간 발성 차례주고받기의 시간이 많을수록, 영유아의 언어 이해 및 표현 능력이 높은 경향이 있음을 시사한다. 이러한 결과는 인공와우이식 영유아와 어머니 간 발성 차례주고받기 과정에서 이루어지는 언어 입력과 피드백이 영유아의 언어 발달 촉진과 관련이 높은 요인임을 시사한다. Lee 등[24]은 부모의 언어 력의 질이 인공와우이식 영유아의 수용 언어 발달에 유의한 영향을 미친다고 강조하였으며, Kondaurova 등[20]은 인공와우이식 영유아와 부모 간 발성 차례주고받기의 빈도가 언어 발달의 주요 예측 변수임을 밝혔다. 이러한 연구들은 본 연구 결과를 더욱 뒷받침하며, 발성 차례주고받기가 인공와우이식 영유아의 언어 발달을 촉진하는 핵심 상호작용 양상임을 보여준다. 따라서, 난청 영유아의 언어 발달을 지원하기 위해서는 부모와 영유아 간 상호작용에서 발성 차례주고받기를 통한 효과적인 언어 입력을 제공할 수 있는 중재 방안이 필요할 것이다.
이상의 결과를 종합하면, 인공와우이식 영유아와 어머니 간 발성 차례주고받기 시간 비율은 건청 영유아 집단에 비해 유의하게 낮았으나, 발성 지속시간, 발성 차례주고받기 평균 지속시간, 화자 전환 쉼 시간에서는 집단 간에 유의한 차이가 나타나지 않았다. 이러한 결과는 인공와우이식 영유아가 건청 영유아와 유사한 수준의 상호작용 지속성을 유지할 수 있음을 시사한다. 그러나 발성 차례주고받기 시간 비율이 낮다는 점은 인공와우이식 영유아가 어머니와의 상호작용에서 충분한 언어적 자극을 경험할 기회가 건청 영유아에 비해 상대적으로 제한될 수 있음을 의미한다. 영유아의 구어 의사소통 발달에서 부모와 자녀 간 발성 차례주고받기 빈도와 부모의 언어 입력의 양과 질이 중요한 역할을 한다는 점을 고려할 때, 향후 연구에서는 난청 영유아와 부모 간 발성 차례주고받기 빈도를 증가시키고, 부모의 언어 입력의 질을 향상시키기 위한 중재 방안을 탐색할 필요가 있다. 본 연구에서는 발성 차례주고받기 빈도와 언어 능력 간에 유의한 관련이 있음을 보여주지만, 인과적 관계를 단정할 수는 없다. 그러므로 향후 연구에서는 인공와우이식 영유아와 부모 간 발성 차례주고받기 빈도를 증가시키고, 부모의 언어 입력의 질을 향상시키기 위한 중재 방안을 탐색할 필요가 있다. 이러한 중재는 이러한 중재는 부모가 효과적으로 언어적 피드백을 제공하고, 영유아의 상호작용 참여를 유도할 수 있도록 설계되어야 하며, 그 효과는 후속 연구를 통해 체계적으로 검증될 필요가 있다. 이를 통해, 난청 영유아의 언어 발달을 효과적으로 지원하고, 자연스러운 부모-영유아 상호작용 환경을 조성하여 궁극적으로 난청 영유아의 의사소통 능력을 향상시킬 수 있을 것이다. 다만, 본 연구는 비교적 소규모의 표본을 대상으로 하였기 때문에, 결과 해석 및 일반화에는 신중함이 요구된다. 향후 연구에서는 보다 큰 규모의 표본을 바탕으로, 발성 차례주고받기의 시간적 특성과 언어 발달 간의 관계를 정교하게 규명할 필요가 있다.
Notes
Acknowledgments
This work was supported by the Ministry of Education of the Republic of Korea and the National Research Foundation of Korea (NRF-2023S1A5A2A01082797).
Author Contribution
Conceptualization: Gangen Lee, Youngmee Lee. Data curation: Gangen Lee. Formal analysis: Gangeun Lee. Funding acquisition: Youngmee Lee. Investigation: Gangeun Lee. Methodology: Youngmee Lee, Gangeun Lee. Supervision: Youngmee Lee. Visualization: Gangeun Lee. Writing—original draft: Gangen Lee, Youngmee Lee. Writing—review & editing: Youngmee Lee.
